$R[x]$
z.B.
$\mathbb R[x]$,
$\mathbb Z_5[x]$
Da nur Konstanten (Grad 0) invertierbar sind, gilt $R[x]^* = R^*$
Wenn R ein Ring ist, dann ist $R[x]$ auch ein Ring
Begriffe
Monisch
max. Potenz hat Koeffizient $1$
Grad
$\deg(x^5) = 5$
$\deg(2) = 0$
$\deg(0) = -\infty$
Kardinalität
$|R[x]|=\infty$, auch wenn R endlich, z.B. $|R|=5$, da unendlich viele mögliche Grade
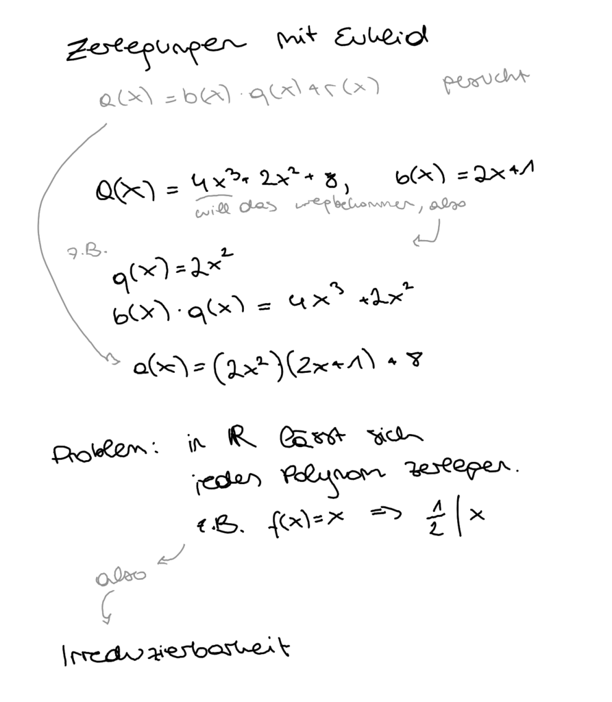
Polynomdivision
z.B. über $\text{GF}(7) = \mathbb{Z}_7 \\[1em]$
Theorem 5.25
Grad vom Rest r(x) ist kleienr als der von b(x)
$$ \begin{array}{l} % Die blauen Beschriftungen \color{orange}{a(x)} \hspace{3.3cm} = \quad \color{orange}{b(x)} \qquad \cdot \quad \color{orange}{q(x)} \quad + \quad \color{orange}{r(x)} \\[5pt] % Die Hauptgleichung x^3 + 2x^2 + 5x + 4 \quad = \quad (2x^2 + x + 1)(4x + 6) + (2x + 5) \\ % Die schriftliche Division darunter -(x^3 + 4x^2 + 4x) \\ \hline % Erstes Ergebnis \phantom{-(x^3+\,\,\,} 5x^2 + \phantom{1}x + 4 \\ % Zweite Subtraktion \phantom{-(x^3+\,\,\,} -(5x^2 + 6x + 6) \\ \hline % Rest \phantom{-(x^3+\,\,\,-(5x^2+6x+\,} 2x + 5 \end{array} $$

Irreduzierbarkeit von Polynomen
- $deg(a)\geq 1$
- alle $p(x)$ mit $p(x)\ |\ a(x)$ $deg(p)=0$ oder p ist Vielfaches von a
Also nicht-triviale Teiler haben Grad zwischen 0 und a
- Ein Polynom ist reduzierbar, wenn es eine Nullstelle im betrachteten Körper hat.
- Bei Grad 1,2,3 gilt: ein Polynom ist irreduzierbar, wenn es keine Nulsltelle im betrachteten Körper hat. Ab Grad 4 gilt das nicht mehr, da wir Faktorisierungen als quadratisch $\times$ quadratisch haben könnten, ohne dass Nullstellen existieren. Grad 3: linear $\times$ quadratisch, also Nullstelle bei linear.
z.B. $(x^2+1)$ in $\mathbb R$ irreduzibel, in $\mathbb C$ nicht, da: $x^2+1 = (x+i)(x-i)$
Auswertung
$$\begin{align}
\alpha \text{ ist Nullstelle} &\Longleftrightarrow p(\alpha)=0 \
&\Longleftrightarrow (x-\alpha) \ | \ p(x)
\end{align}$$
Polynome als Körper
- $\mathbb{Z}{5}[x]$ ist kein Körper, da z.B. $x^2$ keine Inverse hat. Daher modulus, z.B: $\mathbb{Z}{5}[x]_{x^2}$
- $F[x]_{m(x)}$ ist ein Körper für irreduzibles $m(x)$
Es existiert ein Körper mit k Elementen $\Longleftrightarrow k=p^n \text{ mit p prin, n}\in \mathbb{N}$
Rechenbeispiele
- $3x^3 + 2 \equiv_{x^2} 2$
z.B. $\mathbb{Z}{3}[x]{x^3 + 2x + 1}$ ist ein Körper, da (quick-check) $\mathbb{Z}_{3}$ ein Körper ist und da $x^3+2x+1$ eine Nullstelle hat (ist also irreduzibel)